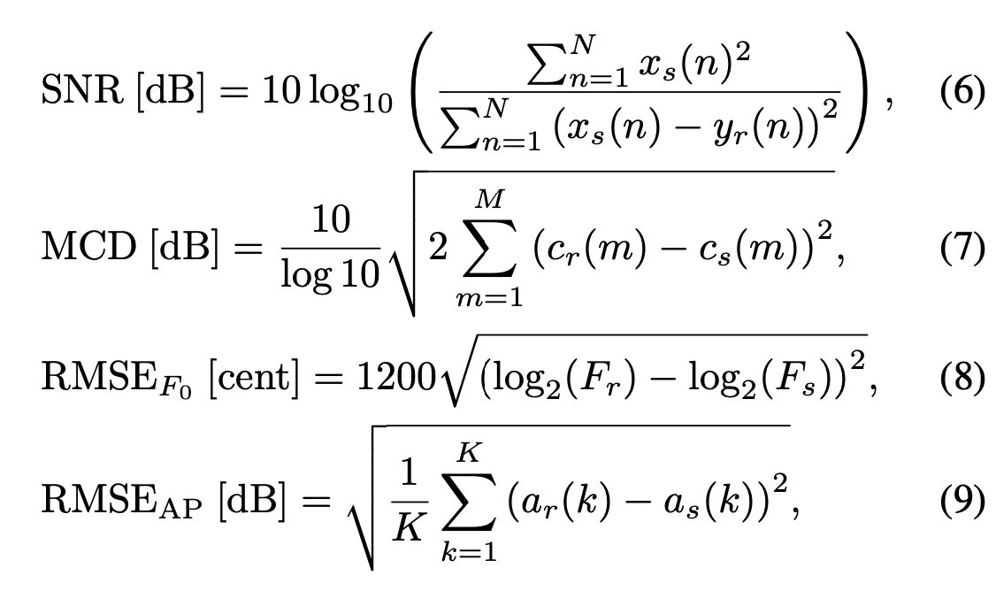
https://github.com/exeex/vocoder_eva/blob/2bf4652b2a405a3fb4a5e2cb8b3403c32565c957/vocoder_eva/eval.py#L87-L89 幫研究一下 計算氣音品質(aperiodic)的指標rmse_ap(下面公式4) 是用什麼算法算出來的(幫看論文) 
vocoder_eva/vocoder_eva/eval.py
Lines 87 to 89 in 2bf4652
幫研究一下 計算氣音品質(aperiodic)的指標rmse_ap(下面公式4)

是用什麼算法算出來的(幫看論文)